Leonardo Alvarino

Leonardo Alvarino

Data Analyst

South Jordan, UT

I build KPI's dashboards, data pipelines and ML models that turn messy data into clear decisions.

SQL Python R Power BI Tableau PySpark ETL Pipelines Machine Learning

Projects

Early Sepsis Detection Using Machine Learning

Machine Learning & Healthcare

Early Sepsis Detection in the ICU Using Machine Learning

Built an end-to-end ML pipeline on 790,000+ ICU patient records to detect sepsis a median of 23 hours before clinical diagnosis. Achieved AUC of 0.885 using XGBoost with SHAP explainability.

Python XGBoost SHAP Pandas
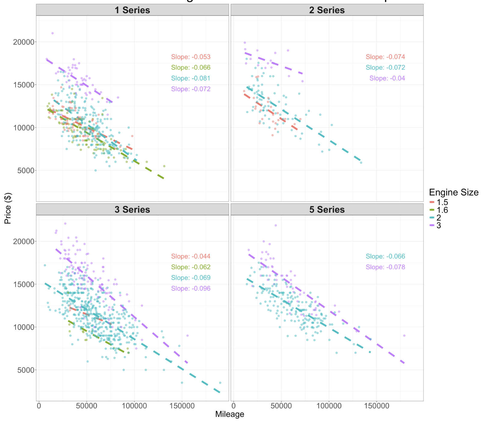
Analyzing Value Retention in the BMW Used Car Market

Data Wrangling & Visualization

Analyzing Value Retention in the BMW Used Car Market

Researched which BMW I should buy next — balancing fun and savings — by analyzing two Kaggle datasets on used car sales. Used linear regression to model depreciation across engine sizes and SUV models, revealing the 2 Series (3.0L) and X4 as the best bets for value retention.

R ggplot2 dplyr Linear Regression
Market Stress Detection

Data Wrangling & ML

Predicting Tomorrow's Closing Price of the S&P 500

Built a Random Forest model to predict next-day S&P 500 direction using Yahoo Finance and FRED API data with feature engineering across 5 time horizons. Backtested a model-guided dollar-cost averaging strategy against passive DCA, both returning ~15% on $27.5K invested.

Python Scikit-Learn yfinance API FRED API
Predicting House Age using Machine Learning

Machine Learning

Predicting House Age using Machine Learning

Trained a Random Forest classifier to predict whether a house was built before or after 1980 using 48 features from a 22,900-row dataset. Achieved 92.3% accuracy, with living area, number of bathrooms, and stories as the top predictors.

Python Scikit-Learn Pandas Plotly
Market Stress Detection

Data Wrangling & ML

Market Stress Detection

Built a market stress early warning system using S&P 500 data. Engineered risk features — rolling volatility, cumulative returns, and drawdowns — then trained a Logistic Regression model to estimate the probability of market stress. Found that risk spikes days before price drops, showing markets can look calm while becoming fragile.

Python Scikit-Learn Pandas Matplotlib